V Межрегиональная многопрофильная олимпиада (ММО - 2023)
Профиль «Математика». Отборочный тур
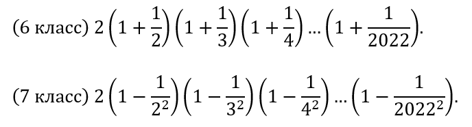
6 - 7 класс
5 ноября 2023
Условия
Задача 1.
Найдите значение выражения. В ответ запишите наибольшее целое, не превосходящее найденное значение.
Задача 2.
Незнайка из коробки с 4 красными, 3 синими и 3 зелеными шарами наугад вытаскивает 6 шаров (шары одного цвета не отличаются друг от друга). Знайка пытается угадать, какие именно шары вытащил Незнайка. Если он угадал, то Незнайка говорит «да», если не угадал количество вытащенных шаров хотя бы одного цвета – Незнайка говорит «нет». Какое минимальное количество попыток должен сделать Знайка, чтобы гарантированно получить ответ «да»?
Задача 3.
Найдите наименьшее натуральное число, которое не менее, чем четырьмя способами представляется в виде (10a+11b), где a и b – натуральные числа.
Задача 4.
Найдите все простые p такие, что числа (p-1)(p+1)+5 и (p-2)(p+2)+10 являются простыми одновременно (в ответ запишите сумму всех возможных значений).
Задача 5.
Каждый из двенадцати месяцев положил в корзинку для цветов несколько подснежников. В итоге в корзинке оказалось 2023 цветков. Найдите наибольшее число A такое, что гарантированно найдутся пять месяцев, положившие в корзинку суммарно не менее A подснежников.
Поля для ввода ответов:
Задача 6. (7 класс)
В остроугольном треугольнике ABC биссектрисы пересекаются в точке K, а высоты пересекаются в точке H. Найдите (в градусах) величину угла AHC, если величина угла AKC равна 120 градусов.