IV Межрегиональная многопрофильная олимпиада 2022
Профиль «Математика». Отборочный тур
10-11 класс
30 октября 2022
Условия
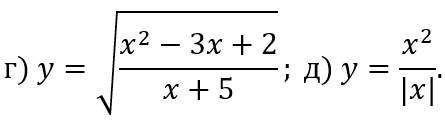
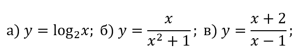
A1. У каких из приведенных функций область определения не содержит точку 0? (в ответ запишите количество таких функций)





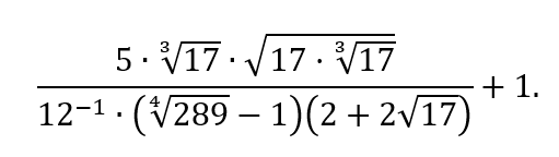
A2. Вычислите


A3. Найдите удвоенное значение выражения при x = 0,2
B1. Одна из двух пересекающихся хорд окружности разделилась на части 6 и 10, а вторая в отношении 3 : 5. Найдите длину второй хорды.

B2. Найдите натуральный корень уравнения 30 + 28 + 26 + … + х = 234.
B3. В ромбе ABCD АМ – биссектриса угла CAD и ∠AMD = 48o. Отрезки BD и AM пересекаются в точке X. Найдите (в градусах) величину угла AXD.

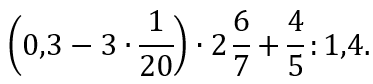
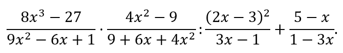
B4. Вычислите




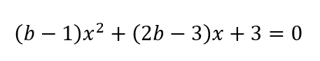
B5. Найдите сумму всех значений параметра b, при каждом из которых уравнение



имеет не более одного действительного корня.

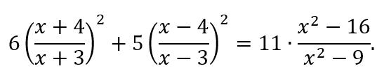
B6. Найдите произведение меньшего корня уравнения и количества его действительных корней:




B7. Высоты треугольника ABC пересекаются в точке H. Найдите радиус окружности, описанной около треугольника AHC, если радиус описанной окружности треугольника ABC равен 2.

B8. Найдите количество целых чисел от 1000 до 5000, дающих в остатке 3 при делении на 11 и 5 при делении на 7.

B9. Две машины выехали одновременно навстречу друг другу – первая из пункта А, а вторая из пункта В. Встретившись по дороге в пункте С, они продолжили свой путь, и первая машина прибыла в пункт В через 2 часа после встречи, а вторая в пункт А – через 8 часов после встречи. Сколько часов в пути была первая машина?

B10. ABCDA1B1C1D1 – куб. На ребре D1C1 взята точка К так, что D1K = 21, KC1 = 3. На продолжении ребра ВА за точку А взята точка Р так, что РА = 9. Через точки Р и К проводится прямая, пересекающая АD1 в точке О. Через середину ребра AD и точку О проводится прямая, пересекающая ребро АА1 в точке Т. Найти длину отрезка ТА.
Поля для ввода ответов: